News
Schemes updates: We have updated All our schemes. Also languages Grade 1-3 we have Tusome Revised By EIDU published by KLB.
Success: Incase you pay and fail to get schemes immediately please call or whatsapp 0110712876. The process is immediate after payment
Welcome to Teachers Palace: Discover quality CBC educational resources designed to empower teachers and transform learning. Browse our extensive collection today!
Schemes updates: We have updated All our schemes. Also languages Grade 1-3 we have Tusome Revised By EIDU published by KLB.
Success: Incase you pay and fail to get schemes immediately please call or whatsapp 0110712876. The process is immediate after payment
Welcome to Teachers Palace: Discover quality CBC educational resources designed to empower teachers and transform learning. Browse our extensive collection today!

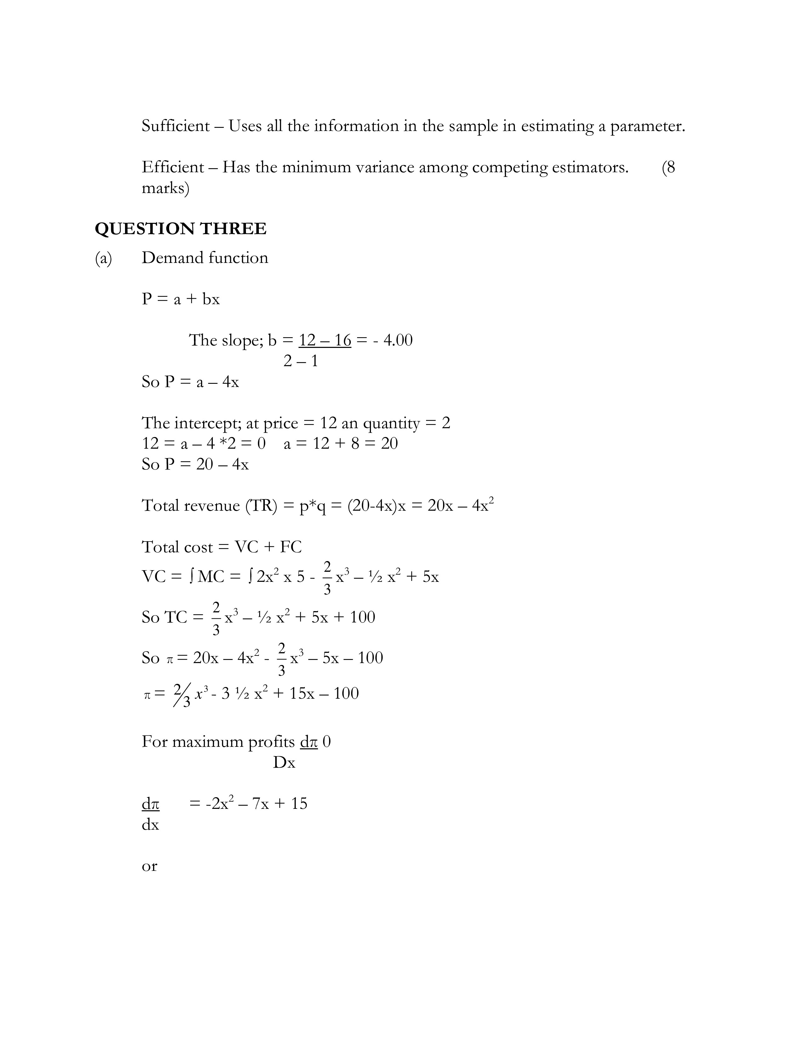
QUANTITATIVE ANALYSIS QT7 ANSWERS

Get More for Less with Subscriptions

Create a free account to access subscription packages with unlimited downloads starting from KSh 299/month.


Unlimited Downloads
No per-resource charges

Multiple Categories
Access various subjects

Save Money
Better than individual purchases
Already have an account? Login to check your subscription benefits or purchase individually below.
  • PDF
  • 0.23 MB
  • 14 Pages

Previewing first 3 pages out of 14 total pages

Individual Price: KSH 45

Resource Description

QUANTITATIVE ANALYSIS QT7 ANSWERS

Document Preview

14 Pages Total
Page 1
Page 1 of 14
Page 2
Page 2 of 14
Page 3
Page 3 of 14
11 Pages Locked

Purchase this resource or subscribe to access all 14 pages

Original file format: PDF

Access This Resource:

Ksh. 45

Cost Comparison
Individual

KSh 45

One-time purchase
Subscription

From KSh 299

Unlimited downloads
Individual Purchase:
Didn't receive the WhatsApp message? You can resend it by entering your payment reference and WhatsApp number.
Why Subscribe?
  • Access hundreds of resources
  • Unlimited downloads
  • Multiple education levels
  • Save up to 70% vs individual purchases
View Packages
Share this resource: